موقع مراجعة سنوات الاعدادي

college.mourajaa.com

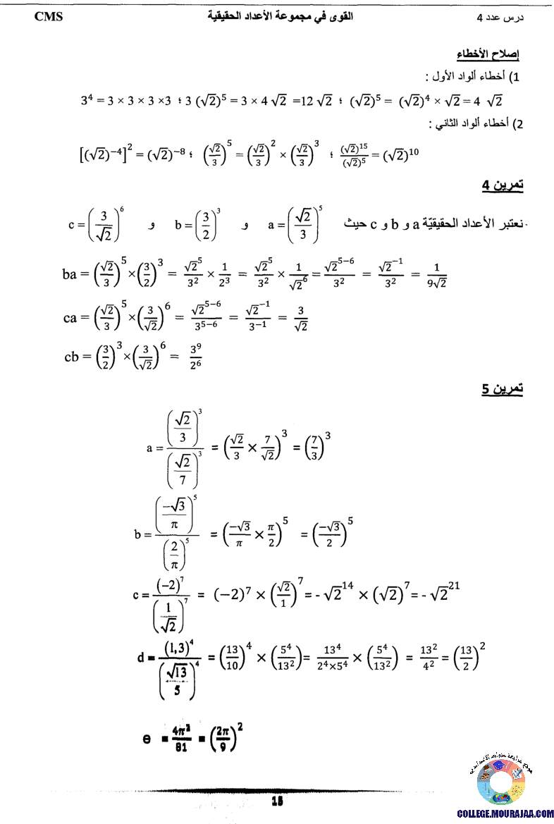
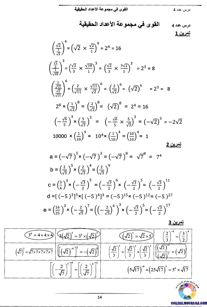
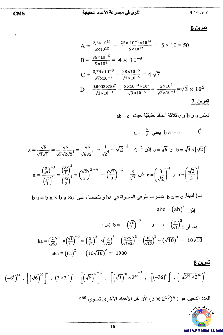
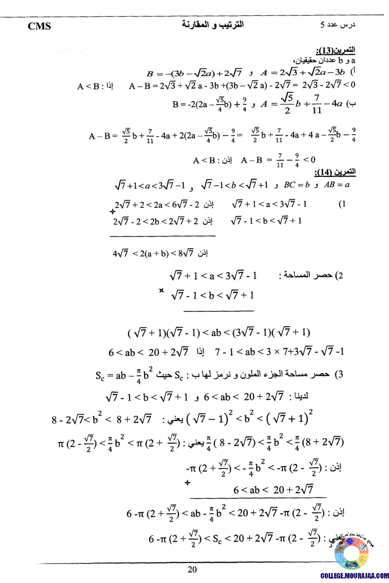
اصلاح تمارين كتاب المدرسي رياضيات 9 اساسي