موقع مراجعة سنوات الاعدادي

college.mourajaa.com

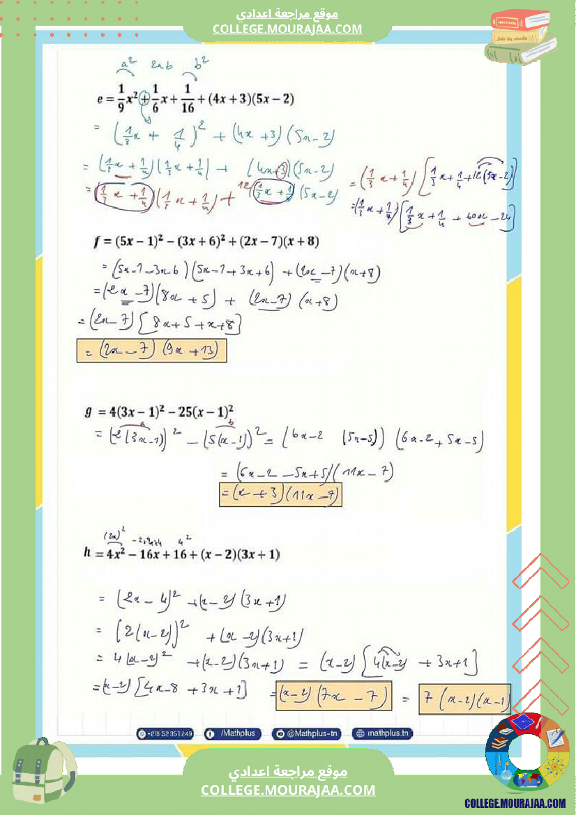
التاسعة اساسي رياضيات جداءات معتبرة

التاسعة اساسي رياضيات جداءات معتبرة