موقع مراجعة سنوات الاعدادي

college.mourajaa.com

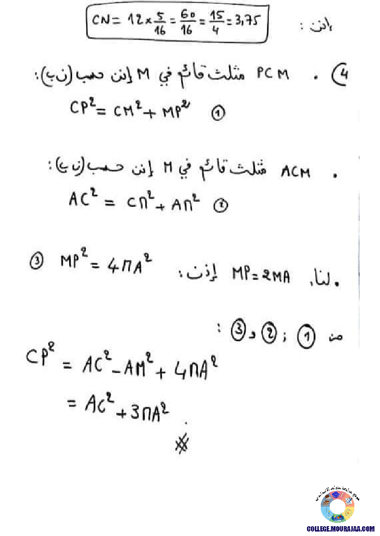
تمارين هندسة مع الاصلاح

تمارين هندسة مع الاصلاح

تمارين هندسة مع الاصلاح

تمارين حول تمارين هندسة مع الاصلاح في مادة الرياضيات لتلاميذ سنة التاسعة اساسي

تمارين هندسة مع الاصلاح

تمارين تمارين هندسة مع الاصلاح في مادة الرياضيات

تحميل تمارين درس تمارين هندسة مع الاصلاح في مادة الرياضيات

تحميل تمارين هندسة مع الاصلاح في صيغة ملف او صور

تحميل الملف كاملا

المزيد من التمارين و التلاخيص و الدروس لتلاميذ سنة التاسعة اساسي في مادة الرياضيات جاهزة للتحميل