موقع مراجعة سنوات الاعدادي

college.mourajaa.com

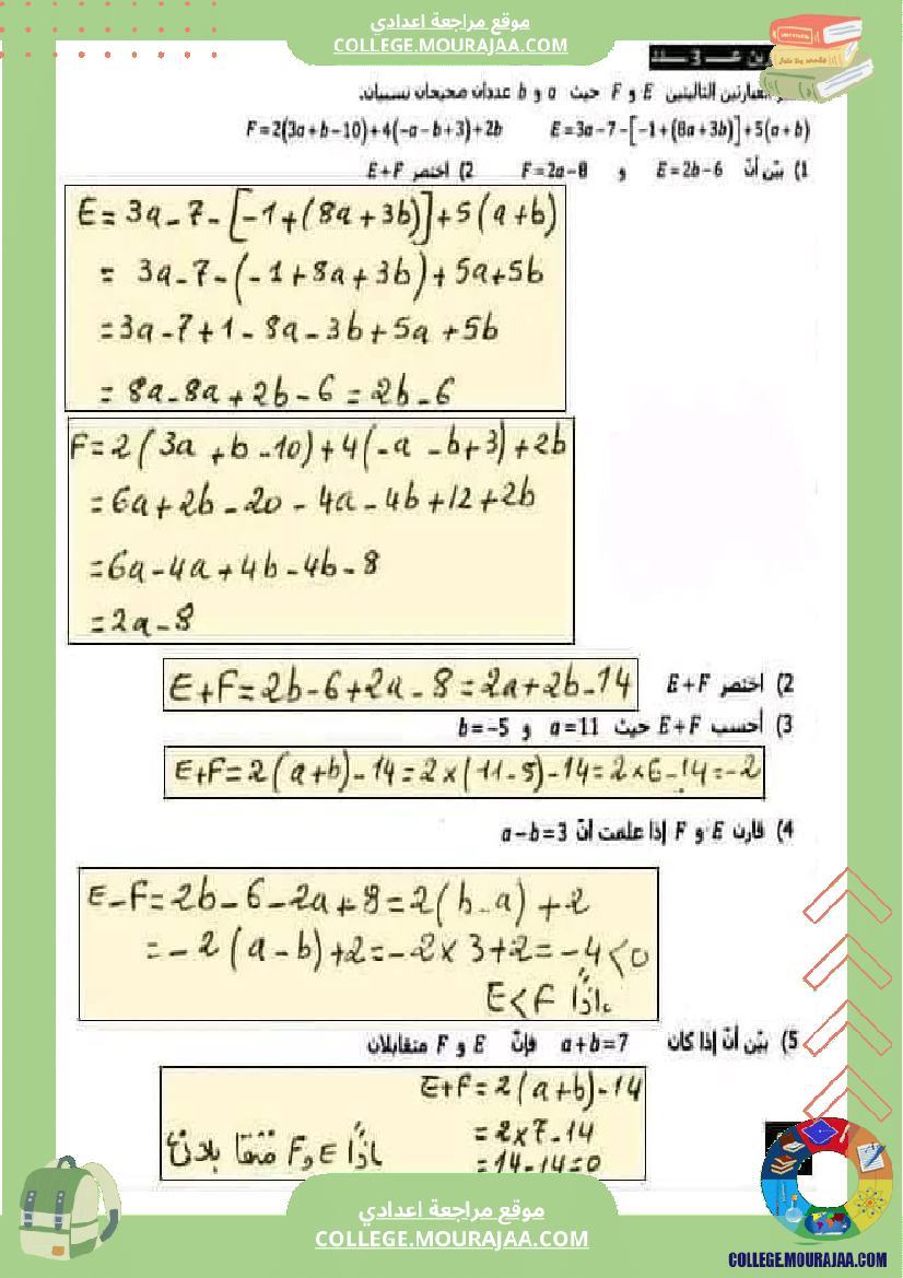
ثامنة أساسي رياضيات فرض تاليفي عدد 1 مع الاصلاح

ثامنة أساسي رياضيات فرض تاليفي عدد 1 مع الاصلاح