موقع مراجعة سنوات الاعدادي

college.mourajaa.com

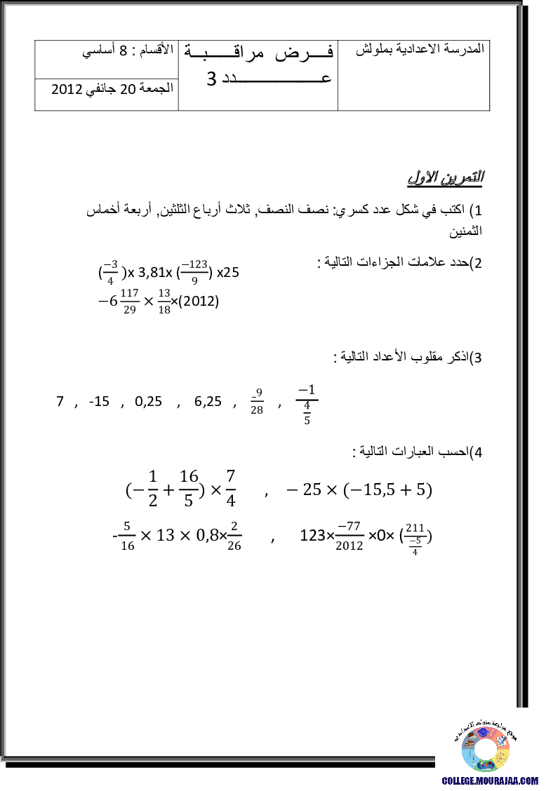
فرض مراقبة سنة الثامنة في الرياضيات الثلاثي الثاني

فرض مراقبة سنة الثامنة في الرياضيات الثلاثي الثاني

فرض مراقبة سنة الثامنة في الرياضيات الثلاثي الثاني

فرض مراقبة لتلاميذ السنة الثامنة اساسي في مادة الرياضيات في الثلاثي الثاني في صيغة صور او يمكن تحميل الملف كاملا اسفل الصفحة

فرض مراقبة سنة الثامنة في الرياضيات الثلاثي الثاني

تحميل فرض مراقبة سنة الثامنة في الرياضيات الثلاثي الثاني في صيغة ملف او صور

تحميل الملف كاملا

المزيد من الامتحانات و الفروض لتلاميذ سنة الثامنة اساسي في مادة الرياضيات جاهزة للتحميل